
全站仪是什么?
全站仪能做什么?
全站仪的硬件功能
1、电子测角,数字显示
2、电子测距,数字显示
3、自动计算,数字显示
4、自带存储空间用于存入全站仪的机载程序和测量数据。
全站仪的用途及工作原理
主要用途:测距、测角。
可以代替经纬仪,但不能代替水准仪。
2秒全站仪测角精度与2秒的经纬仪完全相同,而高差测量是通过垂直角和水平距离计算出来的,对于高精度的水准来说,全站仪的精度不够,但可以用限制距离的测量方式代替低等级的水准测量。
全站仪测角部分采用“角度度盘+角度传感器”获得角度的数字化数据,测距部分与光电测距仪完全相同,而且大多采用电磁波测相技术实现的。
全站仪常见机载应用程序种类:
坐标放样
坐标测量
边角放样
对边测量
悬高测量
直线放样
面积测量
后方交会
高程传递
相对直线坐标
坐标正反算
相对直线放样
线路放样
断面测量
地形测量

全站仪必备的硬件功能
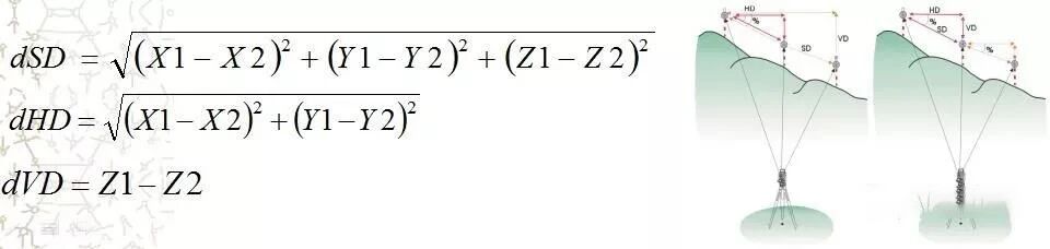
读数头测角:提供水平角(HAR)和竖直角(VA)
测距头测距:提供水平距离(HD)和高差(VD)
全站仪的两种测距方式
1、红外测距

2、激光测距

全站仪的两种测角方式
1、光栅增量式测角
2、绝对编码式测角



角度距离计算坐标公式

全站仪的距离计算

设置测站定向后,全站仪可以为我们提供些什么数据?
1、距离数据
测站点到目标点的平距参与坐标计算
测站点到目标点的高差用于计算坐标点的高程(H)
2、方位角数据
测站点到目标点的方位角,用于计算目标点的平面坐标。
测量坐标、夹角、距离

利用全站仪数字化测图
1、全站仪野外采集坐标、绘制草图。
2、全站仪数据下载到电脑进行数据格式转换。
3、坐标数据展绘到成图软件。
4、根据野外草图绘制地形图。
5、编辑地形图。
6、地形图输出,地形图入库。
坐标放样操作:
1、输入待放样点坐标à仪器计算出测站到待放样点间的距离和方位角à进入放样界面à将水平角差调到0度0分0秒或接近0度à指挥棱镜进入望远镜照准后测距à根据屏幕提示的距离差指挥棱镜前后左右移动à重新照准、测距、指挥棱镜移动直到屏幕显示的角度差和距离差满足放样要求。

后方交会
定义:在某一待定点P架设全站仪,通过测量两个及以上已知点的方式来计算出P点的坐标。
测角交会:需要测量至少三个已知点。
边角交会:需要测量至少两个已知点。全站仪一般是用边角交会

后方交会操作
1、调取已知点坐标(根据仪器的不同,有的会要求一次把所有要测的点的坐标全部调入,有的会要求调一个测一个)
2、测距
3、测量结果确认(仪器会读取当前的角度和距离)
4、计算(根据读取的角度距离数据和调入的测量点坐标计算出待测点的坐标,测量点多于2个点时则进行平差处理)

后方交会计算

后方交会适用范围
1、需要引一个控制点
2、控制点的精度要求较高,极差测坐标不能满足精度要求。
3、在待测点上有两个或两个以上的控制点通视。

角距放样
需要的参数:
1、参考方向
2、待放样点与参考方向的夹角
3、待放样点到仪器的水平距离
适用范围:
已知夹角和距离的放样方式
如:
线路放样
圆形建筑或椭圆形建筑

角距放样

对边测量操作
照准第一点后按测距à确认将该点作为基点à照准第二点后按测距à确认后即显示两点间的平距、高差和斜距à照准其它点测距、确认

对边测量
作用:不在待测点上架设仪器的情况下,利用两个点的假设坐标来计算它们之间的平距、斜距和高差。
对边测量按功能分为相邻对边测量和放射对边测量两种:
相邻对边测量适用于测定相邻两点间的距离,如:AB、BC…..间的距离。
放射对边测量适用于测量各点相对于某基点的距离,如:AB、BC……间的距离。

对边测量用于横断面测量
适用:横断面测量、桩间距测量、楼间距测量。
第一步、基点测量。
要求跑镜员报回当前棱镜高度,操作人员输入当前棱镜的正确高度,跑镜员在中桩上安置棱镜后,瞄准棱镜后测距,并将该点确定为基点。
第二步、变坡点测量
跑镜人员在变坡点上架设棱镜。跑镜人员应报回棱镜高度和当前位置(位于中桩左边还是右边)。
操作员输入跑镜人员报回的棱镜高,照准棱镜测距。测距完成后检查当前变坡点的选择是否正确,再根据跑镜员报回的位置按左负右将dHD记入第一行偏距行,dVD记入第二行高差行。记录结束后开始一下变坡点的测量。

面积测量

测量方法:依次测量待测区域的各特征点的坐标,或调取已经存储的坐标数据来计算待测区域的面积。
测量要求:
1、可以任意点设站,尽可能保证一站可以测完所有特征点。
2、如果不能一站测完所有点,则可以分块测量所有特征点在同一坐标系下的坐标值进行调用计算(600/700),也可以分块测量后面积相加(630/600/700)。
3、测量的特征点越多,精度越高。
4、测量不需要闭合到起点。
分块面积测量




悬高测量
作用:间接测量目标高度,适用于无法直接测量高度的时候。
分类:1、有棱镜高
2、无棱镜高

悬高测量操作:
有棱镜高操作:
1、把棱镜放在待测目标正下方。
2、输入当前棱镜高。
3、瞄准棱镜测距。
4、转动望远镜照准待测目标,仪器显示当前高度。

无棱镜高操作:
1、把棱镜放在待测目标正下方。
2、输入当前棱镜高。
3、瞄准棱镜测距。
4、转动望远镜照准0高度点后将该点设为0高度点。
5、转动望远镜照准待测目标,仪器显示当前高度。
悬高测量原理(有棱镜高)

悬高测量原理(无棱镜高)

相对直线坐标
相对坐标系的建立
先通过两个点定义一条基线,以起点为坐标原点,起点到终点的方向作为X轴的正方向,顺时针方向90为Y轴正方向建立一个独立的坐标系。
操作
测量起点A
测量终点B
获得测站的相对坐标
测量其它的待测点,获得待测点的相对坐标


直线放样
作用:通过两个已知点定义一条基线,输入距离起点的长度和偏距计算出坐标进行放样。
注意事项:
1、施测前须设置测站和定向。
2、起点和终点坐标可以调取,也可以实地测量。
3、按起点到终点为前进方向,偏距按左负右正输入。
适用于测放边桩、等距桩、龙门桩或轴心线等。



角度偏心法测坐标
在待测目标无法直接放置棱镜时,可以待测目标旁边等距离处放置棱镜,以获得待测目标的距离、再照准待测目标中心获得方位角即可计算出待测目标的坐标。

角度偏心法操作
在待测目标旁放置棱镜(要求棱镜所处位置与待测目标到仪器的距离相等或尽可能相近)à照准棱镜测距à转动望远镜照准待测目标中心à屏幕上显示的坐标就是待测目标的近似坐标à确认。

电子经纬仪的功能
电子经纬仪与光学经纬仪的区别
水平角置零
水平角锁定
左右角切换
角度ßà坡度切换
角度复测
测距(已经连接测距头)
照明

水平角置零

激光经纬仪

激光投线仪



激光扫平仪

激光垂准仪


线路认识

常见平曲线组成

平曲线了解

路线的转折角

里程桩的命名

竖曲线

竖曲线计算
